classify the following polynomial: 2x2-3x+1
(ex: cubic monomial)
quadratic trinomial
Add the Polynomials
(4x + 9) +(x - 4)
5x + 5
Factor out the GCF
30x-42
6(5x-7)
Factor (do not solve for x/ answer in the form (x+#) (x-#):
p2 +2p -35
(p-5)(p+7)
(x+1)(x+4)
x2+5x+4
write an example of a linear binomial:
3rd degree, two terms
8x + 1
Subtract the polynomials:
(g - 4) - (3g - 6)
-2g + 2
Factor out the GCF
5a3+2a2
a2(5a+2)
Factor
x2-4
(x-2)(x+2)

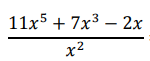
11x3+7x-(2/x)
classify the following: 2x3
cubic monomial
Subtract the polynomials:
(-5h - 2) - (7h +6)
-12h - 8
2x2+16x+32
2(x+4)(x+4)
Factor:
z2 - 4z - 21
(z+3)(z-7)
(6x-5)(6x+5)
36x2-25
Factor out a GCF then factor into binomials using "guess and check"
6x2+14x+4
2(3x+1)(x+2)
Add the polynomials:
(t2 + 3t3 -3) + (2t2 +7t -2t3)
t3 +3t2 +7t -3
Factor:
2x2 - 8
2(x+2)(x-2)
Factor:
2x2+5x+3
(2x+3)(x+1)

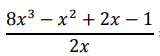
4x2-1/2x+1-(1/2x)
Factor out a GCF then factor into binomials using "guess and check"
10x2 + 15x - 10
5(2x-1)(x+2)
Subtract the polynomials:
(2x - 3x) - (x2 -2x + 4)
-x2 + x - 4
Factor:
4p2 - 256
4(p+8)(p-8)
Factor:
11x2-16x+5
n(n+3)(n-3)
(x2+3x-54)(x-1)
x3+2x2-57x+54