What is the Soh stand for in SohCahToa?
Sine=opposite/hypotenuse
When should we use the Law of Sines over the Law of Cosines?
When there is an angle-side pair.
Why do we need to restrict the domain to find the inverse trig functions?
Trig functions fail the horizontal line test across their entire domain.
Change into a logarithmic equation:
5^4=625
log_5(625)=4
What is the inverse of
f(x)=2^x
f^-1(x)=log_2(x)
Which trig functions are negative in the 4th quadrant?
Sine, Cosecant, Tangent, Cotangent
Does the Law of Sines or the Law of Cosines need to be used to find c?
Law of Cosines
Evaluate:
arcsin(sqrt3/2)
pi/3
Expand the logarithmic expression:
ln((x^3*y)/z^6)
3lnx+lny-6lnz
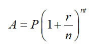
If we invest $10,000 at 2% for 10 years, what amount will we have at the end of 10 years if we compound daily?
hint: 
$12,213.96
cos(225^o)
-sqrt(2)/2
What is x?
about 26.4 degrees
Evaluate:
arctan(1)
pi/4
Condense the following logarithmic expression:
2lnx+3lny-lnz
ln((x^2*y^3)/z)
Given that and its reciprocal function have rotational symmetry about the origin,
sin(-30^o)=?
-sin(30^0)
What is the cofunction equivalent of
tan(pi/3)?
cot(pi/6)
What is x?
about 30.9 degrees
Evaluate:
arccos(sin(pi/3))
pi/6
Solve:
ln(3x)-ln(2x)=ln(5-x)
x=3.5 or 7/2
A certain type of radioactive carbon has a half-life of 100 years. How much carbon would be left after 300 years?
12.5% of the carbon
What is the domain of secant?
Domain:
xnepi/2+pin, n=Z
there are two angles on the unit circle that correspond to any given sine value
all real numbers
Evaluate:
lim_(x->oo)ln(x)
oo
Generate a trigonometric equation involving sine and cosine that is sinusoidal.
ex:
f(x)=sin(bx)+cos(bx)
f(x)=sin(bx)-cos(bx)