The total number of candies
What is 12?
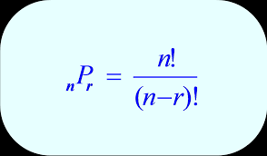
What is the correct math name for this object?
What is a permutation lock?
The total number of dinner options Maurice has if the restaurant has 3 appetizers, 5 entrees, 3 drinks, and 4 desserts.
What is 120?
These letters do not appear on the periodic table.
What are J and Q?
This person has a secret crush on Will.
What is wrong with Michael?
The number of candies that contain chocolate and contain coconut.
What is 3?
0!
What is 1?
The probability of flipping a coin and getting tails 3 times in a row.
What is 1/8?
This is element, found in batteries, was once in the drink 7Up.
What is lithium?
This person has an imaginary girlfriend.
What is wrong with Edgar?
The total number of candies that contain chocolate but do not have coconut.
What is 6?

The probability of guessing all the questions correctly on a 4 question test with 4 multiple choices and only one correct answer.
What is 44 or 256?
Humans produce enough of this during their lifetime to fill two swimming pools.
What is saliva?
This person only goes by his initials because he cannot spell his name.
What is wrong with RJ?
The total number of candies that do not have chocolate but do have coconut
What is 1?
Solve: 5P3
What is 60?
Without replacement, the probability of drawing green marble 4 times in a row.
What is 1/969?
The majority of the Earth's oxygen is produced here.
What are the oceans?
This person makes nerds look less nerdy.
The total number of candies that do not have chocolate and do not have coconut.
What is 2?
Solve: 5P5
What is 120?
The probability of spinning a getting B or C three times in a row.
What is 27/512?
This famous scientist turned down the job of being the president of Israel.
Who is Albert Einstein?
Maria's biggest mistake.
What is wrong with RJ?