factor ![]()
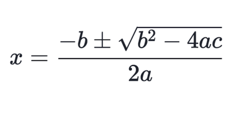
give me quadratic formula

What would need to be done next in order to complete the square for x2-8x=10?
A. Move 10
B. Factor
C. Take half of 8 and square it.
D. Factor out an x
The answer would be C
Give me a discriminant.
D=b2-4ac
The length of a rectangle is 7 meters less than twice the width. Find the dimensions of the rectangle if the area is 60 square meters.
w=15/2 L=8
factor ![]()
(5x-2)(3x+4)
simplify

5/2 or-1
Which value is needed to create a perfect square trinomial from the expression x2 + 8x + _____?
16
If D=b2-4ac is 0, how many does it have real roots?
It has 1 real root.
The hypotenuse of a right triangle is 6 more than the short leg. The longer leg is three more than the shorter leg. Find the length of the shorter leg.
shorter leg is 9
x2+10x+16
(x+8)(x+2)
solve this by using quadratic formula.
4b2 + 8b + 7 = 4

Solving Quadratics by Completing the Square
x2+12x=0
the answer is 36
choose the graph when D<0
a)
b)
the proper graph is a.
The product of two consecutive even integers is 6 more than three times their sum. find the integers.
(-2,0)(6.8)
factor this:
2(x2 – 2x – 8)
2(x – 4)(x + 2)
2x2-5x-3=0
solve the equation by using the quadratic formula.
x=3 or x=−1/2
Solve by completing the square.
![]()
If the discriminant equals 0, then the quadratic has:
a.1 real solution
b.2 real solution
c.No real solution
the answer would be a.
A ball is shot from a cannon into the air with an upward velocity of 40 ft/sec. The equation that gives the height (h) of the ball at any time (t) is: h(t)= -16t2 + 40ft + 1.5. Find the maximum height attained by the ball.
the Maximum height of the ball is 6.5 ft which occurred at 1.25s.
factor this
–1(6x2 + x – 2)
–1(2x – 1)(3x + 2)
Use the quadratic formula to solve 2x2 + 2x - 12?
Rewrite the equation by completing the square. 
Classify the solutions to
2g2+ 7g + 3 = 0
(Use the discriminant)
2 real solutions
A ball is shot from a cannon into the air with an upward velocity of 40 ft/sec. The equation that gives the height (h) of the ball at any time (t) is:
h(t)= -16t2 + 40ft + 1.5. How long does it take the ball to reach a height of 20 feet?
The ball reached a height of 20 feet.at .61 second and 1.88 sec.