Parabola Basics
Solve by Factoring
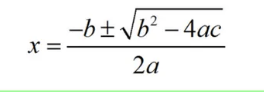
QuadForm Basics
Solve Using the Quadratic Formula
Music Artists you might know
100

X-Intercepts are a solution to..

quadratics

100

Solve by Factoring

10m2 +89m - 9 = 0

(m + 9) (10m - 1) = 0

m = -9,  m = 1/10

100

The u-shaped graph with a function that begins with x2 is called this.

What is a parabola?

100

What the +/- symbol means.

Add and Subtract.  There are two solutions.
100

"I stay out too late.  Got nothing in my brain.  That's what people say, mm-mm "

Who is Taylor Swift?

200

Zeroes are a solution to..

quadratics

200

Solve by Factoring

3x2 - 17x + 10 = 0

(x - 5) (3x - 2) = 0

x = 5, x = 2/3

200
Two methods to solve a quadratic equation.

By factoring and by Quadratic Formula

200

The part that will be inside the radical sign when using the Quadratic Formula  

6x^2-4x+3 = 0

sqrt((-4)^2-(4)(6)(3)

200

"I'm off the deep end, watch as I dive in
I'll never meet the ground "

Who is Lady Gaga and Bradley Cooper?

300

The imaginary line that divides a parabola in half.

Line of Symmetry

300

Solve by factoring

7x2 - 32x - 60 = 0

(7x + 10) (x - 6)


x = -10/7, x = 6

300

The value of "a" in the following equation is this.

x2 - 3x + 190

What is "1"?
300

Using the quadratic formula determine the solutions to the quadratic.

y=-2x^{2}-2x+7

{(2+-sqrt60)/-4}

300

"No one's around to judge me...
I can't see clearly when you're gone"

Who is The Weeknd?

400

The point where the parabola crosses the Y axis.

What is y-intercept?

400

How many solutions are shown in the graph?

One 

400

The "b" value in the equation below is this.

120x2 - 30x - 13

What is -30?

400

These are the zeros to the given quadratic. 

2x^{2}+3x=7-7x

{{-10+-sqrt156}/4}

400

"There's a fire starting in my heart, reaching a fever pitch and it's bringing me out the dark"

Who is Adelle?

500

Another name for the maximum or the minimum point on a parabola

What is the vertex?

500

How many zeros are shown in this graph?


None

500

When using the Quadratic Formula, the equation first needs to be written in this form.

What is standard form?

500

These are the answers to the quadratic equation below: 

4b2 +8b + 3 = 0


What are:  x = -1/2 and x = -3/2 

500

Just a small town girl.  Livin' in a lonely world. 
She took the midnight train going anywhere

Who is Journey?