What is the equation to find the slope of a line given two points?
¿Cuál es la ecuación para hallar la pendiente de una recta dados dos puntos?
(y2-y1)/(x2-x1
Solve for u:
12.1 + u/3 = -7.1
-57.6 = u
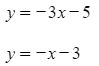
What is the solution to the system of equations?

(3,-1)
Identify which transformation has taken place for each figure. Choose from the following: translation, reflection, and rotation

A) reflection
B) translation
C) rotation
Is this relationship a function?

Not a function
In the equation y=mx+b, what does m and what is b?
En la ecuación y=mx+b, ¿qué significa m y qué es b?
m = slope
b = y-intercept
Solve for y:
-4/3y-2/5=-1/2
y=3/40
Determine which graph shows one solution, no solutions, and infinitely many solutions:

1) No solutions
2) Infinite solutions
3) One solution
Write the coordinates of the vertices of rectangle ABCD after a translation of 3 units down:

A' (-4,0)
B' (-4,-4)
C' (2,0)
D' (2,-4)
Is this relationship a function?

Yes, it is a function
Write an equation to match the graph:
Escribe una ecuación que coincida con la gráfica:

y=-3/4x-2
Solve for m:
8m-13=-7m+5m-11
m=1/5
Graph the system of equations and determine its solution.

(-1,-2)
Write the coordinates of the vertices of polygon DEFG after a reflection across the y-axis:

D' (-1,3)
E' (-5,3)
F' (-7,-1)
G' (-1,-1)
Is this relation a function?
¿Es esta relación una función?

Yes, it is a function
Write the equation, in slope-intercept form for this table of values:
Escribe la ecuación, en forma de pendiente-intersección para esta tabla de valores:

y=2x+4
Solve for w:
-6/5w+1=-2/5w-5/3
w=3 1/3
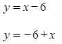
Graph the system of equations and determine its solution.

Infinite Solutions
The two triangles below have been dilated by a scale factor. What is the missing length of each triangle?

a: 27
b: 6
Determine if each graph is a function:

1. yes
2. yes
3. no
4. no
5. no
6. no
Elsa is buying tickets to a concert for her family. She writes an equation y=51x+5 to represent the situation. The tickets cost $51, and the ticket website charges a $5 fee to process the transaction.
In this scenario, what would y and x represent?
If Elsa ended up paying $390, how many tickets did she purchase?
y = total amount of money to pay
x = number of tickets purchased
Elsa purchased 7 tickets for her family.
3(x-2)-5x=-2(x+2)
There is no solution to the equation.
Determine which of the following points are a solution(s) of the given system of equations.
y=-3x+4
y=3x-2
A(2,4) B(0,4) C(-1,-1) D(1,1) E(0,-2)
D(1,1) is a solution
What is the scale factor to dilate triangle ABC into triangle DEF?

5/3
List all items in the domain of the relation. Then list all items in the range of the relation.

Domain: 1, 0, 7
Range: m, 7, p, n