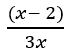
What are all of the excluded values for the following:

Only x=0 Division by zero is undefined.
Find the Horizontal Asymptote(s) for the following equation:

y = -3
In _____________ variation x values increase as y values increase at a constant rate.
direct
This is the LCD for the following equation:

5x
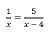
Solve. 
Cross multiply. x = -1
This is the excluded value for the following equation
What is -5 and 7
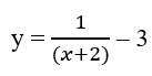
This is the Horizontal Asymptote(s) for the following equation:

y = 4 (As x approaches infinity,
approaches 1. Hence y = 1 + 3 = 4
Direct variation: Find k when x = 30 and y = 2.
1/15
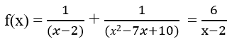
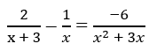
Find the LCD for the following equation:

(x-2)(x-5) = x2 - 7x + 10
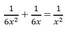
Solve. 
LCD = 6x2 x = 5
This is the excluded value for the following equation:

What is 4 and -10
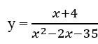
This is the Vertical Asymptote(s) for the following equation

x = -3,2
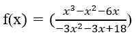
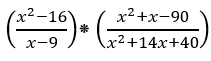
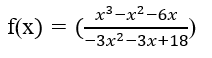
Simplify. Identify any undefined x-values.

x cannot = -4, -1 or 0 -->
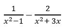
Invert bottom fraction and multiply, after factoring each section.
Solve. 
LCD = x2 + 3x or x(x + 3)
x = -3
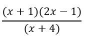
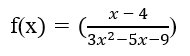
This is the excluded value for the following expression:

What is 9, -4, and -10
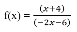
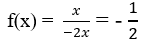
This is the Horizontal Asymptote(s) for the following equation:

Factor the denominator: -2(x + 3)
What is y = -1/2
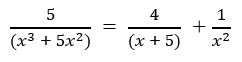
This is the LCD for the following equation:

What is (x2)(x + 5) or x3 + 5x2
Ed drives to school at 20 mph and drives home at 30 mph. What is his average speed for the whole trip? Round to the nearest hundredth.
24 mph
These numbers are the excluded values of the following equation

What is 2 and -3
This is the slant asymptote for the following equation:

y = 3x + 7
Use synthetic or long division.
Simplify. Then identify any undefined x-values.

Undefined values: x = +1, -1, 0, -3
Ed can paint a fence in 3 hours. Gina can paint a fence in 2 hours. How long will it take them to paint a fence if they work together? Round to the nearest hundredth of an hour.

Take 6 hr. Ed can paint 2 fences and Gina can paint 3 fences. hence, 6hr / 5F