Simplifying
Domain and Excluded Values
Multiplying/Dividing
Miscellaneous
100

(16p^2)/(28p)

(4p)/7

100

What is the Domain of 

45/(10x-10)

{x is all real #s | x does not equal 1}

100

(6r+12)/20 xx (4r)/(6r+12)

r/5

100

An algebraic fractions whose numerator and denominator are polynomials

Rational Expressions

200

(2x-4)/(x-2)

2
200

What is the Domain of 

15/(30x^2)

{x is all real #s | x does not equal 0}

200

(x+7)/(7x+35) xx (x^2-3x-40)/(x-8)

(x+7)/7

200

Any values of a variable that results in a denominator equal to zero 

excluded values

300

(x-4)/(3x^2-12x)

1/(3x)

300

What are the excluded values for x?


(x-5)/(x^2-10x+25)


300

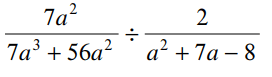
(a-1)/2

300

A relationship between two variables in which the product is constant.

Inverse Variation

400

(x+6)/(x^2+5x-6)

1/(x-1)

400

What are the excluded values for 


(x^3-x^2-42x)/(2x^2-20x+42)


3 and 7

400

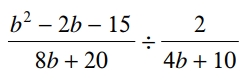
((b+3)(b-5))/4

400

The first step in dividing rational expressions is to find the __________of its divisor. 

Reciprocal