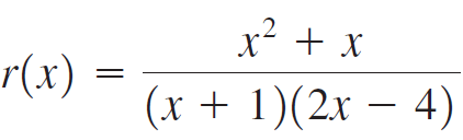
Simplify:
(3x^3)/(12x^2+9x)
(x^2)/(4x+3)
What is the vertical asymptote of the following:
y=2/(x-3) +4
x=3
y=(x^2-4)/(x+2)
Solve:
3/2+1/x=2
2
Fill in the blanks.
1. A graph can cross its _________ and ________ asymptotes, but it can never cross its _______ asymptotes.
A graph can cross its horizontal and slant asymptotes, but it can never cross its vertical asymptotes.
Simplify:
(4xy^3)/(x^2y) * (y)/(8x)
y^3/(2x^2)
What is the horizontal asymptote of the following?
y=8/(x-3) - 3
y=-3
y=(x^2 -4)/(x+2)
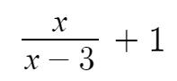
Solve:
3/(4x) = 5/(x+2)
6/17
Find the horizontal asymptote(s) of:

y=1/2
Simplify:
(32x^3y)/(y^9)-:(8x^4)/(y^6)
4/(xy^2)
What is/are the vertical asymptote/totes of the following rational function?
y=(x+5)/(x^2 -25)
y=(x+4)/(x^2 - 16)
Solve:
8/(x+2)+8/2=5
6
A rational function has a horizontal asymptote at y=0 when...
The degree of the numerator is smaller than the degree of the denominator.
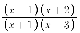
Simplify:
(2x^2 - 10)/(x+1)*(x+2)/(3x^2-15)
(2(x+2))/(3(x+1)
y=(x^3 -1)/(x+4)
Find the coordinate of the hole(s):

(-2,-2)
Solve:
(-3)/(x+1)=4/(x-1)
-1/7
Knowing the following function never cross its horizontal asymptote, find the range:

All real numbers except 2
Simplify:
(x^2 - 14x + 48)/(x^2 - 6x)-:(3x-24)
1/(3x)
Find the slant asymptote
f(x)=((x+2)(x-3))/(x+4)
x-5
How many vertical asymptotes does the following function have?
y=(x^2 +2x - 8)/(2x^3-4x)
It has three vertical asymptotes.
Solve:
(x+5)/(x-2)=5/(x+2) +28/(x^2-4)
x=-4
The following function crosses its horizontal asymptote one time. At what x value does it cross it?

x=-1/3