Describe what point F represents in the graph.
What is, in 1 hour a towboat can go 5.25 miles.
WHY:
(x,y) (hours, miles) (1,5.25)
A comparison between two numbers is called a______ .
What is ratio.
Andrew knows that five pounds of turkey will feed eight people. At this rate, if Andrew is having 20 people over to his house for dinner, how many pounds of turkey will he need?
What is 12.5 pounds.
WHY:

Are these two shapes proportional? SHOW WHY OR WHY NOT.
Yes.
9 6
=
3 2
Does this graph represent a proportional relationship? Explain.
What is, yes because the line is straight and goes through the origin.
Name the ordered pair that represents the unit rate.
What is (1,15).
WHY:
The unit rate is the y-value when x=1 or (1,y)
When x=1, y=15.
Are the ratios 20/30 and 4/6 equivalent? Explain.
Yes because (any choice is correct)
they have the same rate of 2/3. (20/30 and 4/6 both simplify to 2/3)
when you check the cross products they are the same. (20 X 6 = 30 X4 = 120)
when you divide, they both are 0.6666...
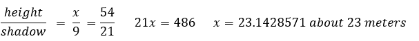
A tree casts a shadow 9 meters long. At the same time, a building 54 meters tall casts a shadow 21 meters long. To the nearest meter, what is the height of the tree?
What is 23 meters.
WHY:
The two triangles are similar. What is the value of d?
What is 12 m.
WHY:
What is the constant of proportionality in this graph?
What is 12,000 miles per hour.
WHY:
Constant of proportionality: divide y by x.
Any ordered pair on the graph will work. (x,y)
24,000/2 48,000/4 72,000/6 = 12,000

What is 250 square feet.
WHY:
Need to find the unit rate of feet per pound.
375 / 1 1/2
In a drawing, there are three circles, four stars, and three triangles. What is the ratio of stars to the total number of shapes?
What is 4 to 10 or 2 to 5.
Other possible answers: 4:10, 2:5, 4/10, 2/5
WHY:
There are 4 stars and 10 total shapes (3+4+3)
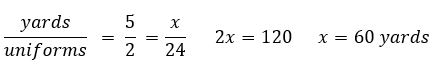
Sammy used 5 yards of fabric to make 2 football uniforms. How many yards of fabric would he need to make 24 more uniforms?
What is 60 yards.
WHY:
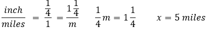
On a map, the distance between Milvale and Dracut is 1 1/4 inches. If the map uses a scale of 1/4 inch represents 1 mile, what is the actual distance in miles from Milvale to Dracut?
What is 5 miles.
WHY:
Which is the better deal $20 for 5 t-shirts or $24 for 8 t-shirts?
What is $24 for 8 t-shirts.
WHY:
cost/quantity better deal: cheaper cost
$20/5 = $4 per shirt
$24/8 = $3 per shirt
A recycling plant processes an average of 1/3 ton of glass each minute. At this rate, how many tons of glass are processed in 1 hour?
What is 20 tons.
WHY:
1/3 x 60 = 20
(60 mins = 1 hr)
There are 40 rabbits in a cage. The ratio of white rabbits to grey rabbits is 3:7. How many white rabbits are in the cage?
What are 12 white rabbits.
WHY:
White - Grey - Total
3 - 7 - 10
6 - 14 - 20
12 - 28 - 40
Rachel's dogs ate 42 pounds of food during July. At that rate, how many days would a 100-pound bag of dog food last? (to the nearest day)
What is 74 days.
WHY:
On a certain map, 1/2 inch represents 75 miles. If the distance between two towns on this map is 2 1/4 inches, what is the actual distance between the two towns?
What is 337 1/2 miles.
WHY:
If James types 120 words per 3 minutes, how many words can he type in 2 hours?
What is 4800 words.
WHY:
1hr = 60 minutes so 2 hrs = 120
The equation that represents the table above.
What is y= $0.65x
WHY:
The constant rate is $0.65,--- 13/20, 26/40, 39/60, 65/100.
y= kx , where k=constant of proportionality = $0.65
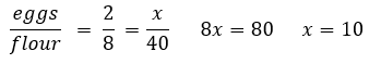
The recipe calls for 2 eggs for every 8 cups of flour. How many eggs are needed with 40 cups of flour?
What is 10 eggs.
WHY:
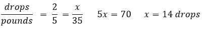
A bottle of liquid dog vitamins indicates that a dog gets 2 drops of vitamins each day for every 5 pounds of body weight. How many drops of vitamins should a 35-pound dog get each day?
What is 14 drops.
WHY:
John would like to take a trip to escape the cold weather. He knows the distance between Alexandria, VA and Orlando, Florida is 840 miles. The distance between the two cities on the map he is using is 10.5 inches. What is the scale of the map he is using?
What is 1 inch: 80 miles.
WHY:
Ricky made $1330 in two weeks. Find his rate per day.
What is $95 per day.
WHY:
$1330/2 = $665 per week
7 days =1 week
$665/7 = $95 per day