Proportions
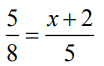
Solve for x

x = 4.5
What's the scale factor?

2:1
What's the circumference ratio?


1:5
Find the unknown segment length

x = 4.5
Find the value of x

x = 10
Solve for x

x = 1.125
Find the missing side

x = 7.2
What's the area ratio?

16:9
Find the unknown segment length

x = 42
Find the value of the unknown length

x = 12