Simplify the ratio.
5:4 or
5/4
Solve the proportion 
y = 6
Tell whether the statement is sometimes, always, or never true.
Two Rhombuses are similar.
Sometimes
△RST ~ △XYZ. List all pairs of congruent angles and corresponding sides.
angleR cong angleX
angleS cong angleY
angleT cong angleZ
RS to XY
ST to YZ
RT to XZ
Determine if the two triangles are similar. Explain how. 
Yes, AA~
angle N cong angle Z
angle MYN cong angle XYZ
Find the ratio of the width to the length of the rectangle. Then simplify the ratio.

1:32 or
1/32
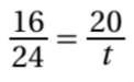
Solve the proportion.
t = 30
Determine whether the polygons are similar. If so, write the similarity ratio and a similarity statement.
Not similar polygons
Given △XYW ~ △XZV, find ZV.
ZV = 34
The ratio of the model car’s dimensions to the actual car’s dimensions is 1:56. The model has a length of 3 in. What is the length of the actual car?
168 inches or 14 feet
The measures of the angles of a triangle are in the extended ratio 3:5:10. Find the measures of the angles of the triangle.
30°, 50°, 100°
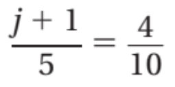
Solve the proportion

j = 1
Determine whether the polygons are similar. If so, write the similarity ratio and a similarity statement.

2:1 ratio, Rectangle RSTU ~ Rectangle WXYZ
What is the similarity ratio between the two triangles?
2:3
Find the length of BD.
BD = 11.67
The measures of the angles of a triangle are in the extended ratio 11:12:13. Find the measures of the angles of the triangle.
55°, 60°, 65°
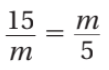
Solve the proportion

m = ±5sqrt3
Find x
x = 5
The lengths of the legs of right triangle ABC are 3 feet and 4 feet. The shortest side of △UVW is 4.5 feet and △UVW ~ △ABC. How long is the other leg of △UVW?
6 feet
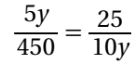
Solve the proportion.

y = 15
the ratio of two side lengths for the triangle is given. Solve for the variable.
q = 6.5
The perimeter of a rectangular room is 66 feet. The ratio of its length to its width is 6 : 5. Find the length and width of the room.
Length = 18 feet
Width = 15 feet
Leonardo da Vinci’s famous portrait the Mona Lisa is 30 in. long and 21 in. wide. TJ has a refrigerator magnet of the painting that is 3.5 cm wide. What is the length of the magnet?
5cm
Which pyramids are similar? 
Pyramids A and C
A geologist wants to measure the length XY of a rock formation. To do so, she locates points U, V, X, Y, and Z as shown. What is XY? 
40 feet