Thieu Nhi
General Knowledge
Pop Culture
A Blast from the Past
100

The colour of Nganh Theiu Nhi's Scarf.

What is the colour Blue

100

The name of the 5th planet from the sun

What is Jupiter.

100

The name of the dragon from Mulan

Who is Mushu

100

The name of this series that featured a group of school children attending a magical school

What is the Harry Potter Series / Harry Potter

200

     The Number of this Tam Neim. 

What is 6.6 / 6.

200

The name of the organelle that is responsible for the energy production within the cell.

What is Mitochondria

200

The name of the event which celebrates the beginning of the calendar year based on the moon cycles.

What is Chinese New Year / Lunar New Year

200

The name of this device where you had to take care of a digital pet.

What is a Tamagotchi

300

The name of the knot used to connect two end together that are not of equal diameter.

What is Nut Tho Det / Sheep Bend

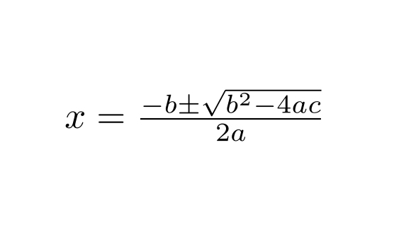
300

The name of this mathematical formula.

What is the Quadratic Formula

300

The name of this Australian Female Authoritarian who has forced countless individuals to remain to the confines of their homs.

Who is Gladys Berejiklian

300

The name of the brand that featured this ring tone in their products.  

What is Nokia

400

The name of this Mat Thu.

What is Mắt Cáo / Fox Eyes

400

The name of the constellation that is depicted on the Australian Flag.

What is the Southern Cross.

400

The name of this application that displays pictures / videos in turn for entertainment, self indulgence, instructional content and grotesque actions.

What is TikTok

400

The name of an early webportal provided by Microsoft that allowed you to message other people in the early 2000s

What is MSN

500

The phrase of the response for Trợ Tá.

What is PHỤC VỤ

500

The name of the largest continent on Earth

What is Asia

500

The name of the father whose child's name is X Æ A-12.

Who is Elon Musk

500

The name of the dance that you would perform to, by the song made by Los Del Rio

What is the Macarena

600

The name of the day commemorating the crucifixtion and death of Jesus Christ.

What is Good Friday / Holy Friday / Black Friday.

600

The name of the phobia that is the fear of being alone.

What is Autophobia.

600

The name of a movement that made people have cold liquids be poured all over the body in order to raise awareness.

What is the ALS Ice Bucket Challenge / Ice Bucket Challenge

600

The name of this creature that would endorse a well-balanced diet and physical maintenance

Who is Healthy Harold

700

The year that Father Leon Laliard and Paul Urureau first founded the semiary Ecole Puginier in Hanoi

What is 1929

700

The name of this Serbian - American engineer and physicist whome invented the first alternating current motor.

Who is Nikola Tesla

700

The name of this popstar's real name is Robyn Fenty

Who is Rhianna

700

The name of this knotting craft that used plastic strips or tubes to create a colourful braid.

What is a Scoobie