-5x +15 = -40, solve for x.
x = 11
(5, 7) and (3, 6)
m =
1/2
this type of slope does not increase or decrease in any direction
what is zero slope?
What is the slope of the graphed line?

What is m=-2
1 4
2 6
3 8
4 12
what is
2/1
or 2
Aerophobia is the fear of what?
Fear of flying on an airplane, helicopter, etc
Simplify
-8y +14 - y - 18
-9y - 4
this type of slope decreases from left to right
what is negative slope?
What is the slope of the graphed line? 
What is m= -1/2
2 0
5 4
8 8
11 12
what is
4/3
What year did Youtube launch?
2005
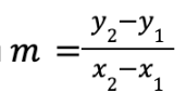
Write the formula to calculate slope between two points.

(0, 25) and (10, 0)
What is -5/2
this type of slope has vertical change but no horizontal change
what is undefined slope?
What is the slope of the line? 
What is m= 2/3
5 10
0 7
-5 4
-10 1
what is
-3/5
When was the iPad first invented?
2010
What is the sum of the interior angles of this polygon?

1080 degrees
(2,3) and (9,7)
What is 4/7?
this type of slope increases from left to right
what is positive slope?
What is the slope?

What is m=-2/3
9 3
18 6
27 9
36 12
what is
1/3
Which planet is closest to the Sun?
Mercury
Evaluate y(x − (9 − 4y)); use x = 4, and y = 2
6
(0,10) and (5, -5)
What is -3?
The slope of a flagpole.
what is an undefined slope?
What is the slope?

what is undefined?
1 2
2 2
3 2
4 2
zero slope
What is the most spoken language in the world?
Mandarin