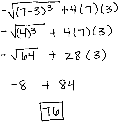
Solving Equations
4x + 3 = 7
x = 1
Solving Equations
5n - 2 = 8n - 14
n = 4
ax – 13 = 11
x= 24 / a
What are the viking values?
respectful, responsible, kind
4 = -8 + x
x= 12
What is the capital of Italy?
Rome
Solving Equations
4(6 + 5x) = 124
x = 5
Solving Equations
-4(-8p + 1) = -4 - 8p
p = 0
bx + g = 14
x= (14 - g) / b
The sum of two consecutive odd numbers is 72. Find the numbers.
35,37
x + 12 = 0
x= -12
Which Apollo mission was launched on April 11, 1970?
13
Solving Equations
-108 = -8(x + 6) - 4
x = 7
Who is this famous Mathematician?
Newton
(x/a) +g=-8
x= a(- 8 - g)
Translate the statement below. “One less than the product of a number and 2”
2n-1
Spell the last name of the teacher that Miss Jones and Mr. Rafferty teach with in math and science.
MR. M
Mr. Miscioscia
The oldest person ever recorded lived to be what age?
122
What is the only sport that has been played on the moon?
golf
Solving Equations
5x + 5 + 4x = 4 - 3x + 6
x= 5/12 or x= 0.41667
Finish the lyric

just a city boy
born and raised in south detroit

Give the perimeter of the rectangle below in simplest form.
8x-10
5x = -80
x= 16
Hematology is the study of what?
Blood
Solving Equations
-93 = 7(-3k - 8) + 5
k = 2
How species of zebra are there?
3
(y/x) + r = v
x= y / (v - r)


3(6p-1)=11p-45
p=-6
What fruit has the most vitamin C
Kiwi