Factor x^2-5x=0.
x(x - 5)
Factor x^2+6x+5 .
(x+5)(x+1)
Factor x^2-4 .
(x+2)(x-2)
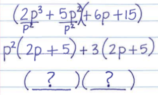
Complete factoring the polynomial below by grouping. 
(p^2+3)(2p+5)
Solve 3y^2+18y=0
y = 0, -6
Solve 2y^2-8y=0.
y = 0, 4
Solve n^2+n-6=0 .
n = -3, 2
Solve x^2=16 .
x = 4, -4
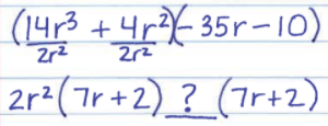
What needs to be factored out of the 2nd set of parentheses in the following factor by grouping problem?

-5
Solve 9x^2-1=0 .
x = 1/3, -1/3
Solve 9r^2=-12r
r = 0, -4/3
Solve s^2-5s+14=4s .
s = 7, 2
Solve 4y^2-1=0 .
y = 1/2, -1/2
Factor by grouping:
12a^3-9a^2+4a-3
(3a^2+1)(4a-3)
Solve x^2-2x-8=0 .
x = -2, 4
Solve 50m^3+125m^2=0 .
m = 0, -5/2
Solve 3d^2+4d-4=0 .
x = 2/3, -2
Solve 16x^2-49=0 .
x = 7/4, -7/4
Factor by grouping:
3n^3-4n^2+9n-12
(n^2+3)(3n-4)
Solve 6x^2+4x+1=9x .
x = 1/3, 1/2
Solve 24x^2=60x .
x = 0, 5/2
Solve 5x^2+10x=x-4 .
x = -4/5, -1
Solve 36s^2=81 .
s = 3/2, -3/2
Solve 5x^2-20x-x+4=0
x = 1/5, 4
Solve 4x^2-x-9=-x-8 .
x = -1/2, 1/2