What is the solution to a system containing two lines that do not intersect?
No solution
DOUBLE POINTS: You need to make sure you have at least one equation in ____________ before you can solve a system using substitution.
slope-intercept form
y=mx+b
y=
Which variable would eliminate?
x
Write two equations to represent the following situations:
One burger (b) and two sodas (s) costs $8.50.
3 burgers (b) and one soda (s) costs $12.00.
b + 2s = 8.50
3b + s = 12.00
How many solutions does this system of equations contain?
Infinite solutions
Explain how you would graph the line:
y = -4x + 3
Plot a point at (0,3), then go down 4 and over 1
How would you set up to solve this problem if you wanted to use substitution?
-5x+6(5/6x+2)=12
What could you multiply the second equation by to be able to eliminate one of the variables?
1) -3 to eliminate the x
2) 2 to eliminate the y
DOUBLE POINTS: At Starbucks, 1 bagel and 1 coffee costs $9.00. 3 bagels and 2 coffees costs $25.50. How much does one bagel cost?
$7.50
What does the solution to a system of equations represent?
Sketch the graph y = 2/3x + 1 on your whiteboard.
Use substitution to solve the system of equations.
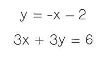
No solution
What would your first step be if you wanted to solve this system using elimination?
1) Multiply the first equation by 5
2) Multiply the second equation by 2
At Old Navy, 3 shirts cost $15.75. At Old Navy, 3 shirts and one pair of jeans costs $43.00. How much do 2 pairs of jeans cost?
$65 - $32.50 per pair of jeans.
If two equations had the same slope and different y-intercepts, how many solutions would there be?
No solution - they would be parallel lines
DOUBLE POINTS: How many solutions does this system of equations have?
1 - it's not no solution because they are not parallel lines - they will intersect at some point.
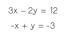
Use substitution to solve the system of equations. 
(-8, 16)
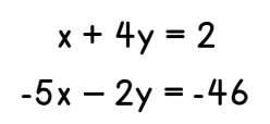
Use elimination to solve this system of equations.
(6, 3)
Ms. Otis has no money in her bank account. She saves $475 per week. Mrs. Tichy has $1,000 in her bank account. She saves $225 per week. After how many weeks will Ms. Otis and Mrs. Tichy have the same amount of money?
4 weeks
Write the following equation in slope-intercept form:
6x - y = 2
y = 6x - 2
3x - 6y = -12
y = 1/2x + 2
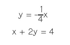
Use substitution to solve the system of equations.
(8, -2)
2) Explain when it might be beneficial to use elimination over other methods.
1) Graphing is very visual; it would be the preferred method if both equations were in slope-intercept form and/or when the numbers are small, whole numbers.
2) Elimination would be the preferred method when both equations are in standard-form and/or when you can easily eliminate a variable.
Mr. Keegan is looking for a new cellphone plan. He is choosing between Verizon and AT&T. Verizon charges $45 per month plus $8.25 per GB used. AT&T charges $35 per month plus $6.99 per GB used. Mr. Keegan uses roughly 5 GB per month. Which plan would be cheaper for him?
AT&T
Explain what the lines y = 2 and x = -5 look like.