With a bell-shaped, symmetric curve, _____ % of the data lie within one standard deviation of the mean.
What is 68?
Complete the sentence.
A normal Distribution has _______________ shape and is ______________ about the middle and most frequent value known as ________________?
"A normal Distribution has A BELL shape and is SYMMETRIC about the middle and most frequent value known as THE MEAN?
What's your favorite class?
That's E-Z!
What is Statistical Reasoning?
:D
If the probability of success is p, the probability of NOT success is. . .?
What is 1-p = q?
With a bell-shaped, symmetric curve, _____ % of the data lie within two standard deviations of the mean.
What is 95%
What is the formula used to find your z-score for a normal distribution in words?
z = (x-mu)/(sigma)
How do you transform A Standard z-Score To A Data Value x In A Given Population ?
If
z=(x-mu)/sigma
then
x = (z)(sigma)+mu
What is the formula for the standard deviation related to a sampling distribution of a quantitative variable?
sigma_bar(x)=sigma/sqrt(n)
a census was conducted and found that 12,000 residents said yes to a question. If there are 13,500 in the population, find mu_p .
The proportion is 12,000/13,500 = .bar(88) .
About ____-% of the data of the data lie within 3 standard deviations of the mean.
What is 99.7%
A variable of interest has a mean of 12.5 and a standard deviation of 2.5. Find the z-score for a value of 13
What is z = 0.2
What z-score would be associated with a probability close to 1.00?
What is 3.49 or 3.5?
The mean ACT composite score in recent year is 20.8 A random sample of 36 ACT composite scores is selected from the population. What is the probability that the mean score is more than 19.8 , assuming the standard deviation is 5.6?
What is 0.8577?
72% of residents in a town lock their doors at night. A recent survey of 1500 residents was conducted. Find the standard deviation?
sigma = sqrt(((.72)(.28))/1500) approx .0116
What is the name of the rule that specifics that for a normal distribution, almost all observed data will fall within three standard deviations (denoted by σ) of the mean or average (denoted by µ)
What is Empirical Rule?
What is the probability or area associated with a z-score of 0.34?
What is 0.6331?
What is the area under the standard normal curve to the right of z = 0.015?
What is 0.4940?
The mean ACT composite score in recent year is 20.8 A random sample of 36 ACT composite scores is selected from the population. What is the probability that the mean score is less than 21.6, assuming the standard deviation is 5.6?
What is
0.8051?
A population has a proportion value of 37% for some characteristic. A sample of 49 residents was conducted, find the probability the sample proportion is less than 35%
What is .3859?
The apples at an orchard are normally distributed with a mean weight of 7 grams and a standard deviation of 1.5 grams.
• Complete the sentence. 68% of all apple weights are between ________ grams and _________ grams.
What is 68% of all apple weights are between 5.5 grams and 8.5 grams?
A normal distribution has a mean of 6.7 and a standard deviation of 1.67. Find the probability of a randomly selected outcome between 6 & 7?
What is 0.5714 - 0.3372 = 0.2342?
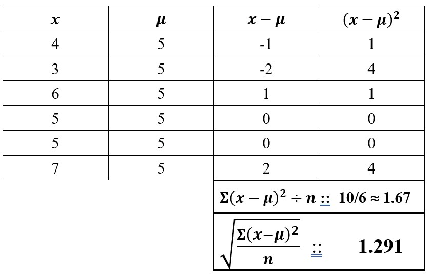
calculate the standard deviation for the data set by hand:
{4, 3, 6, 5, 5, 7}


A distribution of means has an average of 32.7 and a standard deviation of 10. What is the probability that a sample of 144 individuals has a mean of 34 or less?
What is .9406?
A recent study showed that 75% of adults believe that math has made the world a better place. A local university student polled 100 random people. Find the probability his results show between 72% and 77% hold this same opinion. (Find sigma_hat(p) to four decimal places)
Our z-scores are 0.46 and -0.69 which gives respective probabilities which we can subtract to find the answer which is .6772 - .2451 = .4321.