Solve:
1=x-7
8
What is the solution to the system?

(-3, -3)
solve by Equal Values Method:
y=-4x
y=x-5
(1,-4)
Solve using elimination
9x+4y=47
9x+y=32
(3,5)
Solve:
12=3y
4
What is the solution to this system?

No solution
Solve by Equal Values Method:
y=9x-2
y=7x
(1,7)
-6x+4y=46
-6x-8y=34
(-7,1)
Are we ready for the test??
Yes.
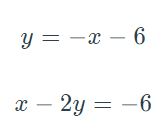
Find the solution by graphing:

(3,2)

y=-4x
2x-5y=44
(2,-8)
−8x+4y=−24
−7x+4y=−16
(8,10)
2y-19=-21
-1
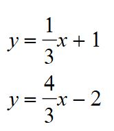
Solve the system by graphing:

(-3,3)

Solve by Substitution:
3x+y=20
x=-7y
(7,-1)
8x+2y=-2
4x-5y=-19
(-1,3)
-4x-6=-3x-8
2
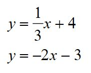
Solve the system by graphing:

(-6,0)

Solve by substitution:
y=4x-9
-7x-6y=-39
(3,3)
4x−8y=16
8x-9y=39
(6,1)