Xin owns a trucking company. For every truck that goes out, Xin must pay the driver $20 per hour of driving and also has an expense of $2.25 per mile driven for gas and maintenance. On one particular day, the driver drove an average of 50 miles per hour and Xin's total expenses for the driver, gas and truck maintenance were $1457.50. Write a system of equations that could be used to determine the number of hours the driver worked and the number of miles the truck drove. Define the variables that you use to write the system.

What is the solution to the system?

(-3, -3)
y=-4x
y=x-5
(1,-4)
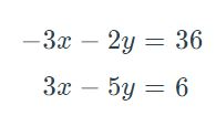
What is the first correct step to solve by Elimination in this problem?
6x-8y=-94
-x+8y=49
Add the equations

Back to the Future
A group of college students are going to a lake house for the weekend and plan on renting small cars and large cars to make the trip. Each small car can hold 5 people and each large car can hold 7 people. A total of 10 cars were rented which can hold 66 people altogether. Write a system of equations that could be used to determine the number of small cars rented and the number of large cars rented. Define the variables that you use to write the system.

What is the solution to this system?

No solution
y=9x-2
y=7x
(1,7)

(-8,-6)

E.T.
Mariana and her children went into a movie theater and she bought $51.25 worth of candies and pretzels. Each candy costs $4.75 and each pretzel costs $3.25. She bought a total of 13 candies and pretzels altogether. Write a system of equations that could be used to determine the number of candies and the number of pretzels that Mariana bought. Define the variables that you use to write the system.

Find the solution by graphing:

(3,2)

y=-4x
2x-5y=44
(2,-8)
−8x+4y=−24
−7x+4y=−16
(8,10)

Ghostbusters
Dalvin runs a farm stand that sells strawberries and blueberries. Each pound of strawberries sells for $2 and each pound of blueberries sells for $3.50. Dalvin sold twice as many pounds of blueberries as pounds of strawberries and he made $225 altogether. Write a system of equations that could be used to determine the number of pounds of strawberries sold and the number of pounds of blueberries sold. Define the variables that you use to write the system.

Solve the system by graphing:

(-3,3)

Solve by Substitution:
3x+y=20
-7y=x
(7,-1)

(-3,9)

BIG
A group of college students are going to a lake house for the weekend and plan on renting small cars and large cars to make the trip. Each small car can hold 5 people and each large car can hold 7 people. The students rented 2 more small cars than large cars, which altogether can hold 46 people. Write a system of equations that could be used to determine the number of small cars rented and the number of large cars rented. Define the variables that you use to write the system.

Solve the system by graphing:

(-6,0)

Solve by substitution:
y=4x-9
-7x-6y=-39
(3,3)
7x+4y=-9
-5x-3y=7
(1,-4)

Top Gun