Starts With S
Multiple Choice Systems
Solving by Graphing
Solving by Substitution or Elimination
Reasoning
100

More than one equation to be solved at the same time is know as this.

What is System of Equations

100

Which point is the solution?

y = x + 4
y = 2x + 5 

a. (1,5)

b. (-1,3)

 c. (2,6)

What is b. (-1,3)

100

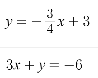
The solution to the system of equations:

What is (-8, 2)?

100

The solution to the system:

x = 4y
2x + 3y = 22

What is (8, 2)

100

If two equations have the same slope but different y-intercepts the system will have ...

What is NO SOL or an INCONSISTENT SOLUTION

200

The ratio of rise to run

What is slope?

200

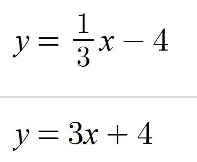
The solution to the system of equations:

y = 3x - 2
y = -x - 2 

a. (-2, 0) 

b. (0, -2) 

c. (1, -3) 

d. (-3, 1)

What is (0, -2)?

200

The solution to the system:

y=x-2

x=4

What is (4,2)?

200

The solution to the system

y = x - 2
3x - y = 16

What is (7, 5)

200

If two equations have different slopes, the system will have

A.  one solution

B. no solution

C. infinite sols

What is A

300

The answer to an equation or system of equations.

What is a solution point?

300

The solution to the system of equations:

y = -3
x = 5 

a. (0, 0) 

b. (-3, 5) 

c. (5, -3) 

d. (2, 2)

What is (5, -3)

300

The solution to the system:


What is (-4,6)?

300

The solution to the system

y = 3x - 1
7x + 2y = 37

What is (3, 8)

300

If two equations have the same slope and the same y-intercepts, the system has ...

What is infinite solutions or

A consistent and dependent solution.

400

y = mx + b is more formally known as this.

What is slope-intercept form.

400

The solution to the system of equations

y = (1/3)x - 3



2x - y = 8 

a. (3, -2) 

b. (3, 0) 

c. (0, -8) 

d. (4, 0)

What is (3, -2)

400

A system is graphed below.  What is the solution?

What is infinitely many solutions? or

What is a consistent and dependent solution?

400

The solution to the system

3x - 2y = 4

-4x+2y = -2

What is (-2, -5)

400

If two lines are parallel when graphed then the system has...

What is no solution or an inconsistent system.

500

Method of replacing a variable with an equal value or expression in order to solve a system

What is SUBSTITUTION?

500

The solution to the system of equations:

y - 3x = 3
y = 3x - 2 

a. infinite solutions 

b. no solution 

c. one solution

What is no solution?

500

Graph to find the solution to the system:


What is (-3, -5)


500

The solution to the system

x + y = 12
3x-3y = -6

What is (5, 7)?

500

If two lines never intersect, nor have any points in common, the system has ...

What is no solution or an inconsistent solution.