Solve by Graphing
Solve by Substitution
Solve by Elimination
Misc
100

What is the solution? Solve graphically.

(-1,1)

100

Solve the systems of equations using substitution:

-3x + 4y = -2

y = -5

(-6, -5)

100

Solve the systems of equations using Elimination:

14x + 2y = 26

-14x - 6y = -50

(1, 6)

100

Is the given point a solution to the system of equations? 

Point:  (2,6)

x + y = 8

3x - y = 0

Yes

200

How many solutions are there?

No Solutions

200

Solve the systems of equations using substitution:

-5x - 5y = 10

y = -4x -17

(-5, 3)

200

Solve the systems of equations using Elimination:

-3x - 5y = 2

3x + 5y = 7

No Solution

200

Is the given point a solution to the system of equations? 

Point:(2,-2)

NO.
300

Solve Using Graphing:

y = 5/3x + 2

y = -3


300

Solve the systems of equations using substitution:

y = -2x - 9

3x -6y = 9

(-3, -3)

300

Solve the systems of equations using Elimination:

-6x - 10y = 4

6x + 10y = 0

No Solution

300

Is the given point a solution to the system of equations? 

Point:(3,-2)

YES

400

How many solutions are there?

Infinitely Many Solutions

400

Solve the systems of equations using substitution:

-8x - 5y = -24

-x + y = 10

(-2, 8)

400

Solve the systems of equations using Elimination:

-3x - 24y = -66

3x + 4y = -14

(-10, 4)

400

Is the given point a solution to the system of equations?

Point: (1/2, -2)

6x + 5y = -7

2x - 4y = -8

No

500

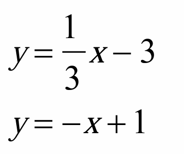
Solve the systems of linear equations by graphing:

500

Solve the systems of equations using substitution:

-8x + y = -7

16x - 2y = 14

Infinitely Many Solutions

500

Solve the systems of equations using Elimination:

-15x + 6y = -36

8x - 6y = 22

(2, -1)

500

What would you multiply the top equation by if you wanted to eliminate the "x" terms:

0.3x - 0.2y = -2.1

0.6x + 1.3y = 0.9


-2