When the line touches the y-axis
Y-Intercept
5x + 40 = 2y
y = 10
(-4, 10)
How old is Ms. Torres?
23
v/10=3
v = 30
PEMDAS
2x + 4y = 40
x = 6
(6, 7)
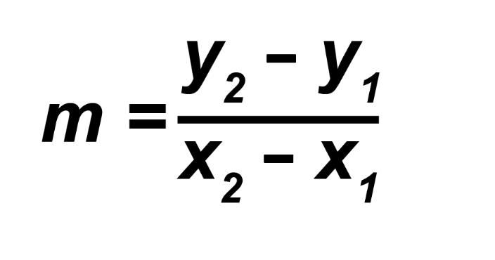
Equation for Slope (Two Points)

A constant quantity placed in front of the variable
Coefficient
2x + y = 8
y = x - 1
(3, 2)
What college did Ms. Torres graduate from?
UCLA
4(2b + 6) = 96
b = 9
2(4) + 6 - 2 = ?
12
3y + x = 11
x = 2y + 1
(5, 2)
Equation for Slope (Graph)

An equation in which the highest power of the variable is one
Linear Equation
-3x - 2y = -12
y = 5x - 7
(2, 3)
What is Ms. Torres favorite basketball team?
(Toasted)
Clippers
2(x+1)=3(x-1)
x = 5
32 + 4 - (5 - 3) = ?
11
y = -3x + 5
5x - 4y = -3
(1, 2)
Equation of a Line
y = mx + b
The constant rate of change of a linear equation. In other words rise over run.
Slope
x - 2y = 11
(3, -4)
What days does Ms. Torres go to school?
Tuesday and Thursday
(5x+9)/100=(3x-1)/100
x = -5
((4+8))/3-2
2
-4x + y = 6
-5x - 2y = 27
(Toasted)
(-3, -6)
Slope Intercept-Form
(Toasted)
y = mx + b
A collection of two or more equations that share the same variables.
(Toasted)
System of Equations
2x + 2y = 16
5x + 2y = 10
(-2, 10)
Where did Ms. Torres grow up?
Hanford
12(x + 1) = 3(4x + 9)
No solution
(3-1)^2/4+66
67
y = 3x + 1
y = 2x - 9
(-10, -29)
Standard Form