Systems of Equations: Graphing or Table
Systems of Equations: Substitution or Elimination
100

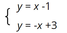
Solve the following system by graphing 

(2, 1)

100

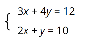
Solve the following system using substitution

(-2, 4)

200

Solve the following system by using a table:

(2, 0)

200

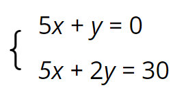
Solve the following system using elimination

(-6, 30)

300

Without graphing, determine if the system is independent, dependent, or inconsistent.

Inconsistent!

Slopes are the same, but y-intercepts are different.

300

Solve the following system using elimination

Infinite number of solutions (Dependent system)

400

Without graphing, determine if the system is independent, dependent, or inconsistent.

Independent!

400

Solve the following system using substitution

(5.6, -1.2)

500

A store sells blue pen costs $1 each, and a black pen costs $0.50 each.  You bought a total of 6 pens for $4, how many of each pen did you buy?

2 blue pens, and 4 black pens

500

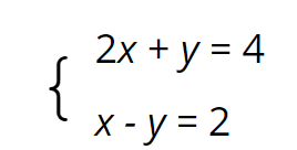
For the following system is elimination or substitution easiest to use?  What is the solution?


Elimination

(-1, -3)