What is the set of rational numbers?
Q ={x| x= a/b : a,b in ZZ and b != 0}
What is the quadratic formula?
(-b+-sqrt(b^2-4ac))/(2a)
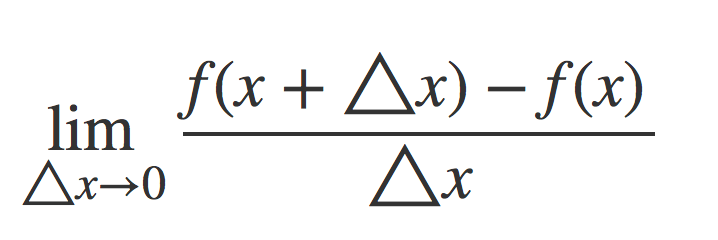
What is the closed formula for the derivative?

True or false: If an object is in motion it is possible for the net force acting on it to be zero.
True
The third planet from the sun
What is Earth?
How do you prove two sets are equal?
show AsubeBandBsubeA
Simplify:
(10x^2-20x)/(40x^3-80x^2)*(16x^3+80x^2)/(6x+30)
(2x)/3
Find the derivative of
y=sec2x^4
y'=8x^3*sec2x^4*tan2x^4
True or False: Electric force is much greater in a charged atom than the gravitational force.
True
What is the motto of the Roman Empire
SPQR
Senatus Populosque Romanus
The Roman Senate and People
The Natural Numbers,The Integers, The Rational Numbers, The Real Numbers, The Complex Numbers are examples of?
Basic/Common Number Sets
Simplify
12sqrt(1764)
504
Find
int(e^xsinx)dx
1/2e^x(sinx-cosx)+c
True or false: the net work done an a system equals the kinetic energy of the system.
False
Name the largest island in the world.
Greenland.
∀ n ∈ N, let An := {(n + 1)k : k ∈ N}
What is A1 ∩ A2
all n: n=6k
Solve the equation for a;
(24x^2+25x-47)/(ax-2)=-8x-3-53/(ax-2)
a=-3
What is the derivative of
csc^-1(x)
(-1)/(abs(x)sqrt(x^2-1))
The electron is the smallest amount of charge, known as the ____________.
elementary charge
What is the national game of England?
Cricket
Prove the transitive property of proper subset:
A sube B and B sube C => A sube C
Find the fractional decomposition of
(-2x^2-19x-13)/(x^3-7x^2+11x-5
2/(x-5)-4/(x-1)-1/(x-1)^2
find the definite integral of:
int_2^3 int_-1^4 int_1^0 4x^2y-z^3dzdydx
-755/4
What are at least 3 of maxwells equations in integral form?
What percentage of a watermelon is water?
92%