Vocab 1
Vocab 2
Vocab 3
Vocab 4
Vocab 5
100

A location with no size or shape? 

Point

100

A line that extends indefinitely in one direction? 

Ray

100

Points that lie on the same line?

Collinear


100

A flat surface made up of points and extends indefinitely in all directions? 

Plane

100

Points that lie on the same plane? 

Coplanar


150

Points that don't lie on the same plane? 

Non-coplanar

Points, P, Q, R, O are non-coplanar. 

150

Made up of points with no thickness or width? 

Line

150

A measurable part of a line consisting of two endpoints? 

Line Segment

150

Points that don't lie on the same line? 

Non-collinear

150

Formula used to find the midpoint between two end points? 

Midpoint Formula

200

An angle with a degree measure less than 90-degrees? 

Acute Angle

200

An angle with a degree measure of 180? 

Straight Angle

200

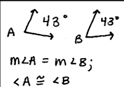
Two angles with the same measure? 

Congruent Angles

200

An angle with a degree measure greater than 90-degrees? 

Obtuse Angle

200

Two angles that share a common side and vertex (next to each other)?

Adjacent Angles

250

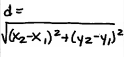
The formula used to find the distance between two points on a coordinate plane? 

Distance Formula

250

Two segments that have the same length? 

Congruent Segments

250

A segment, line, or plane that intersects a segment at its midpoint? 

Segment Bisector

250

If A, B, and C are collinear points and B is between A and C, then AB + BC = AC? 

Segment Addition Postulate

250

Two lines that intersect at a 90-degree angle (right angle)?

Perpendicular

300

A line, segment, or ray perpendicular to a segment at its midpoint? 

Perpendicular Bisector

300

The intersection of two rays at an endpoint? 

Angle

300

Two lines that never intersect? 

Parallel Lines

300

An angle with a degree measure of 90? 

Right Angle

300

The common endpoint of an angle (where the two rays/sides intersect)? 

Vertex

400

If angle ABD and angle DBC are adjacent, then ABD + DBC = ABC?

Angle Addition Postulate

400

Two angles directly across from each other on intersecting lines? 

Vertical Angles

400

Two angles with measures that sum to 90-degrees?

Complementary Angles

400

Two angles with measures that sum to 180-degrees? 

Supplementary Angles

400

Adjacent angles that are supplementary; combined, they form a straight line? 

Linear Pair