Rational Number Operations
Classify Real Numbers
Properties
Square Roots
Integers
100

Simplify.

-25/9 or -2 7/9

100

Sometimes, always, or never?

Natural numbers are irrational.

never

100

Which property does this expression illustrate?

5 + 9 + 4 = 5 + 4 + 9

Commutative Property of Addition

100

Simplify. 

sqrt(121)

11

100

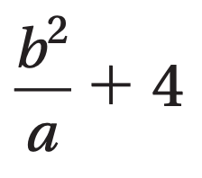
Evaluate the expression when a = −18 and b = −6.

2

200

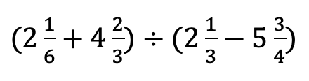
Simplify.


-44/15 or -2 14/15

200

The decimal representation of a(n) _______________________ goes on forever with no pattern.

irrational number

200

Which property is shown below?

-5•(-1/5)=1

The Inverse Property of Multiplication

200

Find sqrt(55) to the nearest tenth.

7.4

200

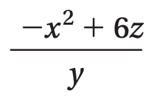
Evaluate the expression when x = 10, y = −2, and z = −5.

25

300

Simplify.

-2

300

To which number sets does the number zero belong?

rational numbers, integers, whole numbers, real numbers

300

Which property is shown?

(5 + 6) • (11 + 2) = (11 + 2) • (5 + 6)

The Commutative Property of Multiplication

300

Simplify for a = -3, b = 2, and c = -4.

2c^3+ab

-134

300

Evaluate the expression when x = 10, y = −2, and z = −5.

65