What is the formula for area AND perimeter of a rectangle?
Area = lw
Perimeter = l+w+l+w or 2(l+w) or 2l+2w
Find distance:
(11, 1) (20, -19)
21.93
Find midpoint:
(11, 1) (20, -19)
(15.5, -9)
Find the perimeter AND area

p = 40x
a = 84x^2
Distribute:
3x(2x - y + 5)
6x^2 - 3xy +15x
What is the formula for area AND circumference of a circle?
Area = πr2
Circumference = πd or 2πr
Find distance:
(6, 3) (-10, 10)
17.46
Find midpoint:
(-2.2, -0.9) (-1.3, -3.8)
(-1.75, -2.35)
Find circumference AND area
C = 109.9 cm
A = 961.625 cm2
FOIL and combine like terms:
(2x-3y)(5x-7y)
10x^2 + 21y^2 -29xy
What is the formula for area of a triangle AND a parallelogram?
What is the formula for area of a triangle AND a parallelogram?
Find distance:
(-1.9, -7) (-5.9, 10)
17.46
Find the other endpoint
Endpoint: (6, 3)
Midpoint: (-10, 10)
(-26, 17)
Find area of the shaded parts
32yd2
Distribute and simplify:
3x(x-y) - y(x+y)
3x^2 - y^2 - 4xy
What is the formula for area of a trapezoid and a rhombus/kite?
Trapezoid A = (a+b)/2 h
Rhombus/Kite A = (d1 * d2)/2
Find distance:
(-2.2, -0.9) (-1.3, -3.8)
3.04
Find the other endpoint
Endpoint: (-1.9, -7)
Midpoint: (-5.9, 10)
(-9.9, 27)
Find area of the shaded part
3617.28in2
4 less than 7 times Terri's age is the same as 3 times her age increased by 96. How old is she?
25 years old
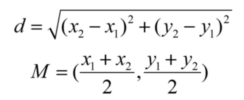
What is the formula for distance and midpoint?

Find distance (can be in decimal form):
(4/3 , 1/9) (-1, 7/18)
2.35
Find the other endpoint
Endpoint: (4/3 , 1/9)
Midpoint: (-1, 7/18)
(-10/3,2/3)
or
(-3.3, 0.6)
Find area of the shaded parts
223.07in2
The first side of a triangle is 7 m shorter than the second side. The third side is 2 times as long as the first side. The perimeter is 27 m. Find the length of each side.
First side = 5
Second side = 12
Third side = 10