Write the first 4 terms.
a_1=7 and a_n=a_(n-1)+5
7,12,17,22
Find the first 5 terms if
a_1=5 and r=3
5, 15, 45, 135, 405
What is the formula to find the nth term of a binomial expansion?

You are taking a 8 question multiple choice test with 3 answer options. In how many ways can you answer the questions?
38=6561
Political activist Karl Marx, best known as co-author of 'The Communist Manifesto', was of which nationality?
German--Marx was Prussian
Find the 16th term if
a_1=9 and d=2
39
Find the general formula of the following and find the 7th term.
3, 12, 48, 192, ...
12,288
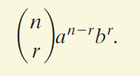
Evaluate the binomial coeffecient

21
Fifty people purchase raffle tickets. Three winning tickets are selected at random. If each prize is $500, in ho wmany different ways can the prizes be awarded.
117,600
Which Disney Princess has the least amount of screen time?
Aurora from Sleeping Beauty
Evaluate the factorial.
(20!)/(2!14!)
120
Find the sum.
sum_(i=2)^8(3^i)
9840
Exand the following
(x-y)^6
x^6-x^5y+x^4y^2-x^3y^3+x^2y^4-xy^5+y^6
6840
Which are the only two months named after mortal men?
July and August
Find the sum
sum_(i=5)^9(11)
55
Find the sum of the first 12 terms
2,6,18,54...
531,440
Expand the following:
(3x+y)^3
27x^3+27x^2y+9xy^2+y^3
A player wins a minimum of $10,000 by correctly matching 4 numbers in any order drawn from white balls (numbered 1-56) and matching the number on the Mega Ball (1-46). What is the probability of winning?
85/(58,570,512
In what country was Haagen-Dazs ice cream developed?
Find the sum.
sum_(i=1)^6(5i)
105
Find the sum of the infinite series.
1+1/3+1/9+1/27+...
3/2
Find the fifth term
(x-1)^10
210x^6
The probability that South Florida will be hit by a major hurrican in any single year is 1/16.
a. what is the probability that South Florida will be hit by a major hurrican two years in a row?
b. what is the probability that South Florida will not be hit by a hurricane?
c. what is the probability that South Florida will NOT be hit by a hurricane in the next 10 years.
d. what is the probability that South Florida will be hit by a hurricane at least ONCE in the next 10 years?
a. 1/256
b. 1/4096
c. (15/16)^10=0.524
d. 1-(15/16)^10=0.476
What color, aside from their black trim, were the original Converse All-Stars Chuck Taylor basketball shoes when they were first produced in 1917?
Brown