This trig function represents the y value on the unit circle.
What is sin(x)?
What is Ms. Archer favorite snack/dessert?
Cinnabon
This value is equal to the sin(-90)
What is -1?
What is the amplitude?
3
It is the frequency (n) , the midline and the amplitude for this trig function:
y = -2sin((pix)/6)-7
What is pi/6, -7 and 2.
This is how we convert from radians to degrees.
What is
180/pi
The distance the sinusoidal model rises and falls above its midline.
What is amplitude?
This is the secant of
(-4pi)/3
What is -2?
This is the midline when the maximum value is 24 and the minimum is 6.
What is 15?
It is the trig function for this graph:

What is
y = sin(theta)
?
The angle 290o in radians.
What is
(29pi)/18
?
As in Transformations - Is the midline a vertical shift or horizonal shift?
Vertical.
This is the cosecant of 60o.
What is
(2root()3)/3
?
This is the value of the amplitude of a trig function that has a maximum value of 22 and a midline of 13.
What is 9?
It is the trig function for this graph:
What is
y = cos(theta)
?
The angle
(14pi)/9
in degrees?
What is 280o?
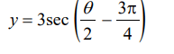
What is the a? of
2sin(theta/4+pi)-2
a = -4pi
This is the secant of
(pi)/2
What is undefined?

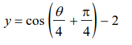
What is the midline, the a (phase shift) and the n.
m=-2
a=-pi
n=1/4
It is the range for this trig function:
y=-5cos(6x)+15
What is [10,20]?
This is the angle 1.22858 radians in degrees to the nearest degree.
70o
What is the minimum distance along the x-axis it takes for the cycle to repeat?
What is the period?
This is the cotangent of -210o.
What is
-root()3
?
What is the period and the first 3 angles?
Period = 4pi
1st angle: 3pi/2
2nd angle: 5pi/2
3rd angle: 7pi/2
It is the period for this trig function:
y=5sin(30x)+90
What is
pi/15
?