The slope of the line that passes through (-3, 2) and (-1, 8).
3
Which relation is not a function? Explain how you know
A.(2, 9), (−1, −5), (1, 5), (5, 0), (12, 3)
B.(−3, 1), (6, 2), (8, 3), (6, 4), (3, 5)
C.(5, 1), (4, 2), (3, 3), (2, 4), (1, 5)
D.(7, 2), (5, 3), (3, 4), (1, 5), (−1, 6)
B, the input 6 has more than one output
The solution to the system
y=-3x+1 and y=x-3
What is (1, -2)
Which of the following is a solution to the linear inequality y > 2x - 1
a. (3, 1)
b. (7,4)
c. (2, 8)
d. (5, -1)
C. (2,8)
Write the equations in slope intercept form
-3x+7y=14
What is
y=3/7x+2
Does this graph represent a function? Explain
The solution to the system
3x-y=-7 and y=4x+11
What is (-4, -5)
What is one solution to this linear inequality? 
Answers may vary
The equation written in standard form.
y=-3/5x-3
What is
3x+5y=-15
Find f(4)
f(x)=32/(-x)+3
-5
The solution to the system
x+y=4 and y=7x+4
What is (0, 4)
What is the equation that matches the graph of this inequality?

y >= x+3
The x- and y-intercepts of the equation
-8x+12y=24
What is (-3, 0) and (0, 2)?
What is the domain of this function? State your answer in interval notation. 
(2,oo)
The solution to the system
3x+5y=11 and 5x-5y=5
What is (2, 1)
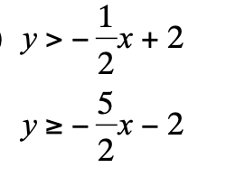
What is one solution to this system of inequalities?
Answers may vary
The equation of a line in slope-intercept form that passes through the points (8, -4) and (-6, -11)
y=1/2x-8
What is the range of this function? State your answer in interval notation. 
[-4,oo)
The solution to the system
y=5x-4 and 2y=10x+12
What is no solution
Write the system of inequalities that matches this graph. 
