What inequality sign is this?
≥
Greater than or equal to
Solve the equation.
3x+4=10
2
Solve the inequality below. Graph on number line.
10x+15>115
x>10

What is the capital of France?
Paris
What inequality sign is this?
<
Less than
-10x+15=35
-2
Solve the inequality and graph.
-2x+8>18
x<-5

What is the chemical symbol for gold?
Au
Draw the arrow that matches this inequality sign.
>
Solve the equation below.
4x+2=-26
-7
Solve the inequality and graph.
12-3x≥ 48
x≤-12

What has to be broken before you can use it?
egg
Draw the arrow that matches this inequality sign.
≤
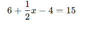
Solve the equation below.

26
Solve the inequality and graph.
-5x+25<-30
x>11

How many bones does the average human have?
206
When do you have to flip the inequality sign?
Multiply or divide by a negative
Solve the equation below.

12
Solve the inequality and graph.
100-20x<-300
x>20

What does "www" stand for in a website address?