During what phase of the cell cycle is DNA replicated resulting in chromosomes with duplicated chromatids?
S phase
What is the gas that is being produced by the plant below in the presence of light? What cellular process is being utilized?
Oxygen gas (O2). Photosynthesis
What are the products of cell respiration?
ATP - Main Product
H2O + CO2 - Waste Products
Cancer/Tumors. Uncontrolled Cell division (un controlled Mitosis).
An animal is conducting cellular respiration. Which are the two reactants the animal is using for this process?
Bonus: What organelle is being used?
O2, Glucose. Mitochondria
A scientist looks under a microscope and sees homologous pairs of chromosomes lining up at the equator of the cell. What phase and what type of cell division is he observing?
A. Metaphase of Mitosis
B. Anaphase of Meiosis II
C. Metaphase of Meiosis I
D. Anaphase of Mitosis
C. Metaphase of Meiosis I
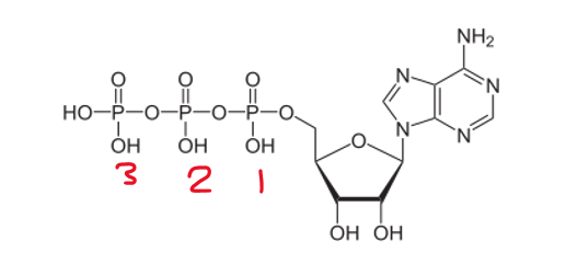
If you were this molecule (ATP) which of the three phosphates will be the easiest to give away?

Phosphate 3. The bond between 2 and 3 will be broken, allowing only a single phosphate to be released.
After chromosomes line up at the equator they begin to get pulled apart by the spindle fibers. What phase of mitosis is this?

Anaphase
Where the following cells produced during Mitosis or Meiosis? How do you know?

Meiosis, the chromosomes have gone through crossing over.
Cellular respiration and Photosynthesis recycle some of their reactants and products. Which TWO products of Cell Respiration will be used as reactants in photosynthesis?
CO2 + H2O
During interphase in the cell cycle, cells are growing, making new organelles, and duplicating their DNA.
During what stage of interphase does the cell check to ensure DNA was replicated correctly?
G2 during the G2 Checkpoint
During vigorous exercise muscles may be depleted of oxygen and will no longer be able to do aerobic cellular respiration. What will the cells do for energy when oxygen is no longer available?
Lactic Acid Fermentation (Anaerobic respiration)
Lactic Acid is produced, which can lead to sore muscles.
Which two events in Meiosis are directly responsible for increasing genetic diversity? (choose 2 from below)
A. Homologous chromosomes separate during Anaphase
B. Crossing over
C. Independent Assortment
D. Chromosome number reduced by half.
E. Cells all start with the Diploid number.
F. Cells all end with the Haploid number.
B and C.
Crossing over and independent assortment directly lead to increased genetic variability.
When ATP donates a phosphate group to another molecule and becomes ADP, what is the result?
A. Energy is released.
B. Energy is stored.
C. Energy is absorbed by the ATP.
A. Energy is released
When ATP breaks down into ADP and a Phosphate, energy is released allowing a cell process to use that energy to do work.
Plants conduct photosynthesis, so they are the primary producers for most terrestrial (land) ecosystems. Many plants however cannot survive in marine (salt water) environments. What type of organisms will serve as the primary producers in these environments? (think of other types of organisms that can conduct photosynthesis)
Cyanobacteria + Algae (protists).
The following tubes are placed in the dark for 24 hours. A scientist then takes a sample of the gasses produced in each tube. What will the scientist discover about the gases in tubes 2, 3, and 4?
Tubes 2, 3, and 4 all contain CO2. (All organisms conduct cell respiration, releasing CO2).
During which phase of Mitosis are chromosomes separated from each other?
Bonus: During this process are homologous chromosomes separating, or are sister chromatids separating?
Anaphase, sister chromatids.
The Image below shows two cells each going through the process of cell division. Identify which cell is going through Mitosis, and which is going through Meiosis. Bonus: Which process is creating unique daughter cells?

A is going through Mitosis. (2 daughter cells both diploid (2n).
B is going through Meiosis (4 UNIQUE daughter cells, each haploid (n).
Bonus: Meiosis
In the presence of light which of the following tubes will be releasing O2 gas? Why?
Tube 3 and 4. Animals can't conduct photosynthesis, but plants can.
A yeast cell is found to be producing ethanol and releasing carbon dioxide. What gas must be absent from its environment, and what cell process is the yeast conducting?
No Oxygen, the yeast is doing Alcohol fermentation.
What gas will be released by a plant in the absence of sunlight? What cellular process will the plant be conducting?
CO2, Photosynthesis
Crossing over is an important step in Meiosis in which homologous chromosomes exchange pieces of themselves with each other. This process generates new combinations of alleles (copies of genes). What effect does this step have on the end products of Meiosis?
Each of the four daughter cells will be unique.
Meiosis (specifically Meiosis I- reduction division). The 2 resulting cells will each go through Meiosis II becoming 4 unique cells.
What type of cell division cause cell A to look like cell B? Is Cell B haploid or Diploid?

Mitosis, no crossing over occurred, (same exact chromosomes in the daughter cell, just not duplicated yet).
Cell B is Diploid
Once an ATP molecule has donated its phosphate group and becomes ADP, where in the cell can the ADP go to become ATP again?
Bonus: What process will create the new ATP?
Mitochondria (where ATP is synthesized through cellular respiration).
Bonus: Cellular Respiration