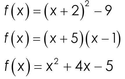
Which equation would be best to find the y intercept? What is the y intercept?
f(x)=x^2+4x-5 (0,5)
What is the axis of symmetry?
x=-6
Which function has the higher y-intercept?

What is the rate of change from [1,4]?
-3
A toy rocket is launched through the air and then hits the ground. What is the max height the rocket reaches?

121 feet
What is the equation of the graph?

y=0.7(x-8)(x-3)
What is the axis of symmetry? What is the vertex?

x=5 (5,53)
Which function has a higher maximum value? The graph or the equation?


The graph
What is the rate of change on the interval [1, 3]?
-6
A toy rocket is launched through the air and then hits the ground. What is the domain of the rocket?
[0,4.5]
What is the equation of the graph?

y=-0.3(x-2)^2-5
Is the function concave up or down?
What is the axis of symmetry?

concave up, x=2
Which function has a higher y-intercept?
Function A
What is the rate of change from [0,2]?
6
A toy rocket is launched through the air and then hits the ground. When does the rocket hit the ground?

4.5 seconds
Write the equation of
y=x^2
after a translation right 1, up 3, and a vertical stretch by 6.
y=6(x-1)^2+3
What are the intervals of increase and decrease?
increase: (6,infinity)
decrease: (-infinity, 6)
Which function has a greater zero?

Function B
What is the rate of change on the interval [-2, 3]?

-2
A toy rocket is launched through the air and then hits the ground. What is the initial height of the rocket?
72 feet
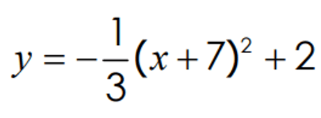
What are the transformations of the function?

reflects, compression by 1/3, left 7, up 2
What are the intervals of positive and negative of the following graph?
positive: (-infinity, infinity)
negative: none
Which function has a minimum value at -8?
Function B
What is the rate of change on the interval [0,1]?
-2
A toy rocket is launched through the air and then hits the ground. When does the rocket reach it's maximum height?
1.75 seconds