Evaluate
Simplify
Rewrite
True/False
Miscellaneous
100

3√(4) * 3√(128)

8

100


21x⁵ - 12x⁴ +3x³ + 13x

100

Rewrite the following in radical form: 2^(2/3)

3√(2 ^ 2)

100

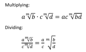
This is the algebraic rule for dividing radicals:


True

100

Solve for x: 42 = (-87 - 4x)6/2

((3√42) + 87)/4

200

√(x+2)=10

x=98

200


7√(10x)/40

200

Rewrite and simplify the following so that the denominator is rationalized: (√3x2y3)/(4√5xy3)

(√15x)/20

200

Does x= 78 satisfy 3(x+3)3/4 = 81?

True/Yes

200

Rewrite the following

10^(17/4)

4√(10^17)

300

√(x+39)+3=1

no solution

300

Simplify the following: 5/(3√10)

(3√100)/2

300

Rewrite the following into exponential form:

4√(8

2^3/4

300

When multiplying two values with the same base, should you subtract the exponential values. 


False

300

Solve for x

√(3x+4) = √(2x + 7)

x=3

400

What does √(-1) represent?

i

400

Simplify the following: (2/√(3))^(-4/3)

[3√(36)]/4

400

Rewrite and solve for the following: (2/√(5)) ^ (-4/3)

(√(5)/2) ^ (4/3), [3√(100)]/4

400

Is the following rule correct?:

(a/b)^-n = (b/a)^n

True/Correct

400

Order the following expressions from least to greatest:

√(40/1), √(49/16), √(81/100)

√(81/100), √(46/16), √(40/1)

500

√(2x + 2) + 8 = 0

no solution

500

[77x+ 45x+ 3√(46)] / (77x + 7√(46))

(847x4-77√(46x3) + 495x3 - 45√(46x2) + 33√(46x) - 138)/ 7(121x2 - 46)

500

Rewrite and solve for the following: (33√75 + 93√16)/(33√3)

3√25 + 23√18

500

When rationalizing an equation, you multiply both sides by the whole denominator, even if there is a constant being multiplied with the radical.

False

500

What is the x intercept for the following equation when graphed: y=√(x+2)

(-2,0)