The term represented by AB
What is a diameter? (also acceptable: chord)
The value of x if BE=4 and CD=2x-6.

Point D is the incenter of triangle ABC. Angle EAF = 52, DCG = 21 and the radius is 3cm. This is the measure of angle EAD.
What is 26 degrees?
The coordinates of the center of a circle in the equation shown:

What are (-12, -3)?
What is CO2 (carbon dioxide)?
The term represented by CD.
What is a chord?
The circumference of the circle shown (in terms of pi).

What is 22 pi?
W is the circumcenter of triangle QRS. Find the length of RW.
What is 24?
The equation of the circle shown below.
What is
x^2+(y-3)^2=9
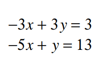
The intersection between

What is (2, 1)?
What is Monaco?
The area of the circle shown (in terms of pi).

What is 121 pi?
W is the circumcenter of triangle QRS. This is the perimeter.
What is 112 units?
The Odyssey is a famous epic poem by this playwright.
The point of intersection between 
What is (-3, -2)?
The point formed by the circle circumscribed around a triangle, where its perpendicular bisectors intersect.
What is a circumcenter?
In terms of pi, calculate the length of s given r = 12 and
theta = 60

What is 4 pi?
Point D is the incenter of triangle ABC. Angle EAF = 52, DCG = 21 and the radius is 3cm. This is the measure of angle BDF.
What is 47 degrees?
The vertex coordinates of the parabola,
y^2=(x+3)^2+(y-2)^2
The point(s) of intersection between the line
x = 0
and the circle,
(x-4)^2+(y-5)^2+25
What are (0, 8) and (0, 2)?
The point formed by the circle inscribed within a triangle, where its angle bisectors intersect.
What is an incenter?
In terms of pi, calculate the minor sector area given r = 4 and
theta = 50

What is 2.2 pi?
Point D is the incenter of triangle ABC. Angle EAF = 52 degrees, DCG = 21 degrees and the radius is 3cm. This is the length of AD (rounded to the hundredth).
What is 6.84 cm?
Find the center of the circle given points (12, 14) and (7, 12) form the diameter.
What are
(19/2, 13) or (9.5, 13)?
One point of intersection between...

Parabola:
y=(x-3)^2-4
Line:
y=2x-7
What is (6, 5) or (2, -3)?