Find the slope of 4y + 6x = 12
m= -3/2
Four consecutive odd numbers sum to 56. What is the highest number of the four.
17
What is the solution set for (Express in interval notation):
-29<3+8v<59
(-4,7)
Evaluate f(-2) for the following function
f(x)=x^2+2x+7
7
Fully factor the following:
5x^2-20
5(x-2)(x+2)
What is the slope of the line between (3, 5) and (-2, -1)?
m=6/5
There are 4.2mm 16-year olds in the US. Approximately 18% will earn a master's degree. How many will not earn a master's degree (to the nearest tenth of a million)?
3.4 million
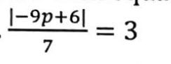
Solve the following equation
{-5/3, 3}

20
Fully factor the following:
3u^2-26u+35
(3u-5)(u-7)
What is the equation of the vertical line that passes through (-3, 5)? What is the slope of that line?
x=-3
Undefined
It takes Jessie 5.1 hours to move out of an apartment. Mia can do the job in 3.8 hours. How long would it take them to do it together (to the nearest tenth of an hour)?
2.2 hours
Solve the following equation:

No solution
Find f(1) + f(-1)
-4
Solve the following:
x^3=25x
x=0,5,-5
Write the equation of the line that passes through (1, 9) and is perpendicular to y=3x +2? (in point-slope form)
(y-9)=-1/3(x-1)
Louisa has 12 coins in her cup holder. She only has quarters and dimes. If the coins total $2.40, how many dimes does she have?
Four dimes
What is the solution set for the following inequality (express in interval form):
3x-6>0 or 3+9x<75
(2,8)
Find g(h(x):
3x^3+6x^2
Fully factor:
8x^3+125
(2x+5)(4x^2-10x+25)
What are the x- and y- intercepts of 3x - 4y=24?
(8,0) and (0,-6)
Abby walked to school at 4.2 mph but strolled home at 3.1mph. If it took her 0.7 hours to walk to school, how long did it take her to walk home (to the nearest tenth of an hour)?
0.9 hours
Graph the following absolute value equation.
y=-|x+2|+5

Which of the following is not a function?
A) {(1,2), (-1,5), (10,-7), (2,5)}
B) {(5,5), (3,6), (5,10), (-1,3)}
C) {(3,5}, (4, -6), (8, -20), (1,2)}
B
Solve the following:
-16x-63=x^2