Graphing
Data and Graphing
Data Analysis
Data Analysis Again
Chi-square
100
This type of graph shows discrete, categorical data

bar graph

100

What type of graph would best display data collected by an entomologist studying the frequency of different size ants within a tropical forest?

histogram

100

This statistical term refers to the middle value in a data set

median

100

More data is _____ than less data. 

better

100

What is the first thing you need to calculate when solving a chi-square problem?

the expected values

200

This type of graph is generally used to show change in a single variable over time

line graph

200

What type of graph would best show the brightness of a distant star over time? 

line graph

200

This statistical term refers to the value that occurs most frequently in a data set

mode

200

This statistical term refers to how precise a data set is compared to the whole population from which it comes

standard error of the mean

200

How do you know how many degrees of freedom to use when determining the critical value in a chi-square problem?

Subtract 1 from the total number of possible outcomes

300

This is the most commonly forgotten part of a good graph in science. It is the first thing that someone else will look at in order to figure out what the graph is showing. 

a descriptive title

300

Identify the two main types of data and provide an example of each

Qualitative data: blue shirt, unhealthy plant, new microscope, bright star, or any other term that describes something 

Quantitative data: 1 experiment, 4 students, 5 bacterial colonies, 33 orangutans or any other numerical amount of something

300

This statistical term refers to how much variation or spread exists in a data set

standard deviation

300

Error bars that ______ show a statistically significant difference in data, while error bars that ______ show that there is not a statistically significant difference in data.

do not overlap, do overlap

300

For a chi-square genetics problem, how do you calculate the expected values?

use a Punnett square
400

This type of graph shows the correlation or relationship between two measured variables

scatter plot 

400

What type of graph would best show average daily attendance of students for each day of the week? 

bar graph

400

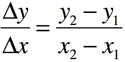
How do you calculate the rate of change? (Write out the x and y coordinates needed for this calculation.)

400

A trait that has a standard or normal distribution within a population can be displayed by a histogram that has a bell shaped curve. Briefly describe what this means in terms of the frequency of the different forms of the trait. 

The medium forms of the trait are most common in the population, while the extreme forms of the trait are the least common. 

400

Once you have solved a chi-square problem, you may be asked to interpret your results. Write the general interpretation of an accepted null hypothesis using the idea of statistical significance.

There is no statistically significant difference between the observed and expected values.

500

This type of graph shows frequency on the y axis and ranges of values on the x axis

histogram

500

Identify the meaning of the following statistical terms: 

N =

n =

S =

N = whole population size

n = sample population size

S = standard deviation

500

The arithmetic mean or average of a data set refers to the central tendency in the values of the data set. This is a useful statistical tool, but what type of data can skew its meaning?

outliers = data whose values are far away from the majority of the data

500

Identify the two main ways that a sample population's standard error can be reduced.

1. Decrease the standard deviation 

2. Increase the size of the sample population

500

Once you have solved a chi-square problem, you may be asked to interpret your results. Write the general interpretation of a rejected null hypothesis using the idea of statistical significance.

There is a statistically significant difference between the observed and expected values.

M
e
n
u